В металлических дымовых свободностоящих трубах болты фланцевых соединений так же, как и анкерные болты, работают одновременно на срез и растяжение. Исходя из этого, их следует проверять как на растяжение, так и на срез. Таким образом, расчетное усилие Nб, которое может быть воспринято одним болтом, определяют по формулам:

где Rба - расчет болтовых соединений и растяжек на срез; Rбт - расчетное сопротивление болтового соединения на растяжение; А - расчетная площадь сечения стержня болта, А = ¶d2/4, здесь d - наружный диаметр стержня болта; Rбn - площадь сечения болтя «нетто»; nt - число расчетных срезов одного болта; nб - коэффициент условий работы болтового соединения, которое для многоболтового соединения из болтов нормальной точности, применяемых обычнов конструкциях дымовых труб, составляет 0,9.
Общее количество болтов в соединении определяют по формуле
![]()
где Nбmin - меньшее из значений расчетного усилия для одного болта, установленное по методике расчета на срез или растяжение; vc - кооффициент условий работы.
Следует помнить, что расчет болтовых соединений и растяжек, в частности анкерных болтов, крепящихся с односторонней накладкой, должен быть увеличен против расчетного количества на 10 %. В настоящее время в эксплуатации находится значительное количество металлических дымовых труб, изгибающие моменты которых под действием ветровых нагрузок воспринимаются растяжками, которые прикрепляют к кольцам, смонтированным на стволе (рис. 41).

В этом случае расчет болтовых соединений и растяжек при ветровом давлении на ствол составляет
![]()
Натяжение наветренной растяжки

Ствол дымовой трубы испытывает следующие напряжения: во-первых, от продольного изгиба, вызываемого собственной массой и вертикальной составляющей S2 натяжения растяжки; во-вторых, от изгиба моментом М' вследствие ветрового давления Р и момента М'' вертикальной составляющей натяжения растяжек S. Влияние первого рода нагрузки незначительно и его не учитывают.
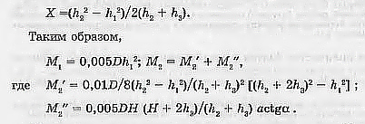
Максимальные значения изгибающий момент приобретает в двух сечениях: у кольца, к которому крепят растяжки - М1 и в сечении, лежащем на высоте X от уровня крыши M2,

В этом случае расчет болтовых соединений и растяжек при усилиеи на подошву основания дымовой трубы достаточно произвести на основании давления ее собственной массы. Следует отметить, что весьма схожие с металлическими конструктивные решения имеют дымовые трубы из гибридных стеклопластиков. Это начинающее развиваться направление призвано служить для эвакуации продуктов сгорания в коррозионно-индуктивной атмосфере химических производств. Первые пилотные проекты двухслойных стеклопластиковых труб с теплоизоляционным слоем из минераловатных изделий, разработанные к настоящему времени, представляют собой сборную конструкцию из отдельных царг, смонтированную в пространственной металлической шахте.