Расчет теплообмена в топке - это определение температуры продуктов сгорания ка выходе из топки при заданных ее конструкции и условиях работы или определение площадей тепловоспринимающих поверхностей нагрева, при которых обеспечивается заданная температура в танце топки. В инженерной практике применяется метод расчета, созданный советскими учеными, основанный на совместном использовании для расчетов законов лучистого теплообмена н приложении теории подобия к топочным процессам. Функциональная зависимость определяющих критериев от различных факторов установлена на основе экспериментальных данных.
В общем виде тепловосприятие поверхностей нагрева определяется из уравнения теплообмена в топке, которое, исходя из закона Стефана-Больцмана, может быть представлено в виде
![]()
где Q'л -тепловосприятие поверхностей нагрева, кВт; ат - интегральный коэффициент теплового излучения топки; с0 - коэффициент излучения абсолютно черного тела, равный 5,67*10-8 Вт/(м2*К4), φо - коэффициент тепловой эффективности поверхности нагрева; FСт - площадь поверхности стенок, ограничивающих топку, м2; Т - средняя температура продуктов сгорания в топке, К; ТСр - средняя температура поверхности нагрева, К.
Вместе с тем тепловосприятие поверхностей нагрева может быть определено из теплового баланса топки, согласно которому
![]()
где φ - коэффициент сохранения теплоты топкой; Вр - расчетный расход топлива, кг/с или м3/с; Qт - полезное тепловыделение в топке, кДж/кг или кДж/м3; Н''т - энтальпия продуктов сгорания на выходе из топки, кДж/кг или кДж/м3.
Значение разности Qт - Н''т, кДж/кг или кДж/м3, при условии неизменности объема продуктов сгорания и их теплоемкости в топке может быть найдено из формулы
![]()
где Vr - объем продуктов сгорания, м3/кг или м3/м3; сг - теплоемкость продуктов сгорания в топке, кДж/(м3*К); Та - адиабатическая температура горения топлива, К; Тг - средняя температура продуктов сгорания на выходе из топки, К. Приравнивая значения Q'л из уравнений теплового баланса и теплообмена в топке, получаем

где φ - коэффициент, учитывающий потери топки в окружающую среду, φ0 - коэффициент тепловой эффективности поверхности нагрева.
Параметр, учитывающий отраженное излучение от стенки в выражении (9.7), обозначим через r = 1-(ТСт/Т)4 и введем понятие о безразмерных температурах средней в топке и на выходе из нее:
![]()
Т. Л. Поляком и С. Н. Шориным зависимость между этими безразмерными температурами предложена в виде формулы
![]()
где m и n - показатели, зависящие от характеристики топочного процесса. На основе анализа экспериментальных данных по работе топочных устройств А. М. Гурвич показал, что m = 1, а показатель n является функцией расположения зоны максимальных температур в топочной камере, и с учетом этого предложил формулу для определения температуры продуктов сгорания на выходе из топки

где
- число Больцмана, здесь φэ = (qпад - qобр) / qпад - коэффициент тепловой эффективности поверхности нагрева; здесь qпад - удельный тепловой поток к поверхности нагрева; qобр - обратный удельный тепловой поток от поверхности нагрева; М - параметр, характеризующий температурное поле в топке, зависящий от относительного расположения зоны максимальных температур в топке.
Эта формула и принята в основу практических расчетов теплообмена при значении θ"т<0,9. В развернутом виде формула для определения температуры на выходе из топки #т принимает вид [1]

При определении площади поверхности стен топочной камеры Fст, м2, используется формула

Определение значений величин, входящих в (9.10) и (9.11), производится далее по методике, приведенной в [1].Площадь лучевоспринимающей поверхности нагрева настенных и двухстенных экранов, м2,
![]()
где Fпл = bl - площадь стены, занятой экраном, м2; b - расстояние между осями крайних труб экрана; I - освещенная длина трубы; х - угловой коэффициент экрана. При определении Fпл исключаются не защищенные трубами участки стенок, в том числе площадь, занятая горелками.
Степень экранирования топки определяется отношением
![]()
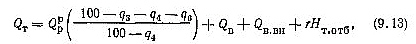
Полезное тепловыделение в топке, QT, кДж/кг или кДж/м3,

где Qpp - располагаемая теплота топлива, кДж/кг или кДж/м3, определяемая по формуле (2.2); QB - теплота, внесенная в топку воздухом, поступающим из воздухоподогревателя, и теплота воздуха, вносимая с присосами, кДж/кг или кДж/м3; QB вн - теплота, внесенная в топку воздухом при подогреве его вне котла, кДж/м3 или кДж/кг; гНт.отб - теплота рециркулирующих газов в случае возврата их в топку, кДж/кг или кДж/м3; r - доля продуктов сгорания, отбираемых на рециркуляцию; Нт.отб - энтальпия газов в месте отбора; q3, q4, q6 - потери теплоты от химической неполноты сгорания, механического недожога, с теплотой шлаков и охлаждающей водой, кДж/кг или кДж/м3.
Теплота, воспринятая в топке на 1 кг (м3) топлива, кДж/кг или кДж/м3,
![]()
где φ -
; -коэффициент сохранения теплоты; q5 - потеря теплоты котлом от наружного охлаждения, %; ηк - КПД котла; Н"т - энтальпия газов на выходе из топки при температуре их θ"т, кДж/кг или кДж/м3. Параметр М для однокамерных топок определяется в зависимости от относительного положения максимума температуры пламени в топке хт = Нг/Нт, причем размеры Нг и Нт принимаются по схеме на рис. 9.3.

При расположении горелок в несколько рядов Нг определяется как среднее значение при пропорциональном расходе топлива через каждый ряд горелок. При сжигании мазута и газа М = 0,54/0,2 хт. При камерном сжигании высокореакционных топлив и слоевом сжигании всех топлив М = 0,59/0,5 хт. При камерном сжигании кгалореакционныч твердых топлив (АШ, Т), а также каменных углей с повышенной зольностью М = 0,56 / 0,5 хт. Максимальное значение М принимается не выше 0,5 для камерных топок. Для полуоткрытых топок при сжигании высокореакционных твердых топлив, газа и мазута и при сжигании АШ и Т принимается М = 0,45 Когда максимум температур располагается выше или ниже уровня горелок, к значению tT следует прибавлять поправку Δх. При сжигании угольной пыти при фронтовом или встречном распотожении горелок или встречном расположении вихревых горелок в несколько ярусов для котлов менее 117 т/ч х, = 0,1. Для слоевых топок при то четом слое хт = 0,14.
Средняя суммарная теплоемкость продуктов, кДж/кг или кДж/м3, сгорания определяется из выражения

где Н"т - энтальпия продуктов сгорания 1 кг (1 м3) топлива при температуре θ"т коэффициенте избытка воздуха на выходе из топки ат; θ"а - температура продуктов сгорания над слоем топлива. Интегральный коэффициент теплового излучения экранированных камерных и с гоевых топок определяется по формуле

где аф - интегральный коэффициент теплового излучения факела; ψср - средний коэффициент тепловой эффективности поверхности нагрева, определяемый по (9.22); p = R/Fcт - отношение площади зеркала горения к площади поверхности стен топки.
Для камерных топок р = 0, тогда
![]()
Излучение факела зависит от его интегрального коэффициента теплового излучения, эффективного коэффициента аф, равного отношению действительно излучаемого потока энергии факелом к его значению при излучении абсолютно черного факела.
При сжигании пыли твердого топлива объем топки заполнен светящимся факелом. Интегральный коэффициент теплового излучения факела по его длине примерно одинаков. При сжигании мазута излучают трехатомные газы и мельчайшие сажистые частицы. В зоне активного горения аф больше, чем в конце факела, где излучение определяется только трехатомными газами. В случае сжигания газа и неполном его предварительном смешении с воздухом светящаяся часть факела меньше, чем при сжигании мазута. При полном предварительном смешении газа с воздухом в топке пламя несветящееся. Эффективный коэффициент теплового излучения топочной среды при сжигании твердых топлив с учетом поглощения лучистой энергии средой согласно закону Бугера определяется по формуле
![]()
где е - основание натуральных логарифмов; к - коэффициент ослабления излученной средой; р - давление в топке; s - эффективная толщина излучающей среды в топке.Коэффициент ослабления лучей топочной средой, 1/(м*МПа), зависит от толщины излучающего слоя, парциального давления трехатомных газов в продуктах сгорания, а также наличия в газах золы, частиц кокса, сажи и определяется по формуле
![]()
где кг, Кзл, Ккокс - коэффициенты ослабления лучей трехатомными газами, золой и коксом; рRO2 - парциальное давление трехатомных газов; μзл - безразмерная концентрация золы в газах; х1, х2 - безразмерные коэффициенты, учитывающие влияние концентраций коксовых частиц и способ сжигания топлива; значения этих коэффициентов для различных сред приведены в [1]. Например, для топки, работающей на пыли твердого топлива при толщине излучающего слоя около 8 м, kr ≈ 0,3; Кзл ≈ 6,5 И Ккокс ≈ 1.
Для определения аф при сжигании газа и жидкого топлива факел условно разделяют на две части, светящуюся и несветящуюся, и интегральный коэффициент теплового излучения факела определяют из выражения
![]()
где аcв и аг - интегральные коэффициенты теплового излучения светящейся и несветящейся частей факела соответственно; т - коэффициент, характеризующий относительную длину светящейся части факела. При Q / V ≤ 300 кВт для газа m ≈ 0,1, а для мазута от«0,55. Интегральные коэффициенты теплового излучения светящейся и несветящейся частей факела определяются из выражений

где кг - коэффициент ослабления лучей трехатомными газами; к0 - коэффициент ослабления лучей сажистыми частицами. Эффективная толщина излучающего слоя в топке, М, определяется по формуле
![]()
где Vт, Fст - объем и площадь поверхности стенок топки. Ввиду трудности непосредственного определения коэффициента тепловой эффективности экранов, учитывающего их облучение и загрязнение, для характеристики отраженного излучения используется понятие коэффициента загрязнения поверхности нагрева ε = ψэ/ψо, где ψэ, ψо - коэффициенты тепловой эффективности загрязненной и чистой поверхностей нагрева.
Тогда коэффициент тепловой эффективности экрана может быть определен из выражения
![]()
Коэффициент загрязнения зависит от вида топлива, способа его сжигания и конструкции топки. Обычно для газа и мазута ξ = 0,6 / 0,8, а при факельном сжигании твердого топлива ξ = 0,4. Последовательность конструктивного расчета топки характеризуется схемой на рис. 9.4 На основе определения значений тепловыделения в топке QT и энтальпии продуктов сгорания на выходе из нее НТ находят теплоту, передаваемую излучением в топке Qji, затем устанавливают площадь поверхности топки с настенными экранами /•'ст, которые воспринимают количество теплоты Qn, при заданных температурах Тт и Т7 и степени тепловой эффективности экранов. При поверочном расчете топки данной конструкции определяются температура продуктов сгорания на выходе из нее и тепловосприятие поверхностей нагрева, расположенных в топке. В заключение определяются размеры топочной камеры, на стенах которой должны быть размещены экраны.

Расчет теплообмена в топке теплообмена в двухкамерных топках. В двухкамерных топках теплообмен в камере сгорания отличается от теплообмена. Уравнение теплообмена в подтопке и камере охлаждения имеет вид:
![]()
где Qл - теплота, переданная излучением, кДж/кг; ак - приведенный коэффициент теплового излучения камеры; Тф - эффективная средняя температура топочной среды, К; Т3 - температура наружного слоя загрязнения поверхности, К; Нл - площадь лучевоспринимающей поверхности, определяемая по выражению (9.12), м2. Уравнение теплового баланса, кДж/кг,
![]()
где QT - полезное тепловыделение в камере, кДж/кг.
Полезное тепловыделение в камере сгорания или охлаждения, а также энтальпия газов определяются с учетом потерь теплоты от химического и механического недожога, потерь с теплотой шлака, а так же с учетом поступления теплоты с воздухом; ф - коэффициент сохранения теплоты; Нт - энтальпия продуктов сгорания топлива при температуре на выходе из камеры сгорания или охлаждения и соответствующем избытке воздуха, кДж/кг; QK - теплота, переданная конвекцией, которая учитывается только при расчете горизонтальных и вертикальных циклонов, кДж/кг.
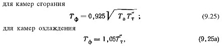
Эффективная температура топочной среды Гф, К, определяется по формулам:

здесь Та - адиабатная температура сгорания в предтопке, К, определяемая по энтальпии газов, принимаемой равной Qr, и при избытке воздуха в конце предтопка; Тг - температура газов за предтопком или камерой охлаждения.
Температура наружного слоя загрязнения t3, К, лучевоспринимающей поверхности в камере охлаждения определяется по формуле
![]()
где ТСр - средняя температура среды, К; а2 - коэффициент теплоотдачи от стенки к внутренней среде, Вт/(м2*К), который учитывается только при расчете перегревательных поверхностей нагрева; Qл - тепловосприятие радиационных поверхностей нагрева, кДж/кг, определяемое по уравнению баланса по (9.14);ε = δз / λз - тепловое сопротивление загрязняющего слоя на поверхности трубы или огнеупорной массы и шлака на ошипованных экранах.
Для открытых гладкотрубных и плавниковых экранов при сжигании углей в пылевидном виде ε = 0,004 м2*К/Вт, а при ошипованных экранах, покрытых огнеупорной массой, ε = 0,008 м2*К/Вт. Температура загрязнений лучевоспринимающей поверхности Т3 в камерах сгорания определяется по температуре наружного слоя жидкого шлака путем совместного решения уравнения теплообмена от факела к пленке и уравнения теплопроводности через текущую шлаковую пленку. Толщина шлаковой пленки определяется с учетом вязкости шлака, его количества и динамического воздействия факела.