Основными факторами, определяющими конвективный теплообмен, являются температурный напор и коэффициент теплопередачи. Температурный напор - усредненная по площади поверхности нагрева разность температур между греющей и нагреваемой средами, зависит от взаимного направления их движения. Движение греющей и нагреваемой сред параллельно навстречу друг другу называют противоточным, а в одну сторону - прямоточным. Перпендикулярное направление движения одного из потоков сред по отношению к направлению движения другой среды называют перекрестным током. Применяют также элементы поверхностей нагрева с комбинированными прямоточным и противоточным, а также с параллельным и перекрестным движениями сред.

Схемы омывания поверхностей нагрева показаны на рис. 9 5. Наибольший возможный конвективный теплообмен достигается при противотоке, наименьший - при прямотоке, при всех других схемах включения поверхностей нагрева температурный напор имеет промежуточные значения. При постоянстве массового расхода теплоносителей и коэффициента теплопередачи для данной поверхности нагрева средний температурный напор для прямоточной и противоточной схемы движения сред, °С, определяется по формуле

где Δtб - разность температур сред в том конце поверхности, где разность температур больше, °С; Δtм - разность температур на другом конце поверхности, °С.
При Δtб/Δtм ≤ Δt с достаточной точностью определяется как среднеарифметическая разность температур
![]()
Для смешанной схемы включения, если выполняется условие ΔtПрям>0,92 Δtпрот, температурный напор определяется по формуле
![]()
По схемам с параллельным и перекрестным токами температурный напор определяется по формуле
![]()
где ty - коэффициент пересчета. Значения ψ повышаются примерно с 0,7 при однократно перекрестном токе до 0,9 при четырехкратном перекрестном токе [1].
В случае значительных изменений теплоемкости одной из сред (например, пара при высоком давлении), а также изменения агрегатного состояния среды в пределах данного элемента поверхности нагрева температурный напор определяется для отдельных участков, в которых теплоемкость принимается постоянной, и средний температурный напордля всего элемента определяется по формуле
![]()
где Q1, Q2... - тепловосприятия участков на 1 кг каждой из сред, кДж/кг; Δt1, Δt2 температурные напоры на соответствующих участках, °С.
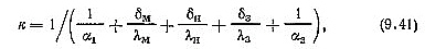
Коэффициент теплоотдачи к, Вт/(м2*К), от греющих газов к рабочей среде в гладких трубах испарительных, пароперегревательных, экономайзерных и воздухоподогревательных поверхностей нагрева при малой толщине стенки трубы по отношению к ее диаметру определяется, как для плоской многослойной стенки, по формуле

где ai и а2 - коэффициенты теплоотдачи от греющей среды к стенке и от стенки к нагреваемой среде, Вт/(м2*К); δм и λм - толщина и теплопроводность металлической стенки трубы, М и Вт/(м*К); δз и λз - толщина и теплопроводность слоя загрязнений на наружной поверхности трубы, м и Вт/(м*К); δн и λн - толщина и теплопроводность слоя накипи на внутренней поверхности трубы, м и Вт/(м*К).
При нормальной эксплуатации отложения накипи на трубах экономайзера, испарительной поверхности нагрева и пароперегревателя не должны достигать толщины, вызывающей существенное повышение термического сопротивления и роста температуры стенки трубы, и поэтому в тепловом расчете дробь δз / λз может быть принята равной нулю. Тепловое сопротивление стальной стенки трубы при ее небольшой толщине (δм = 0,002 - 0,004 м) и высокой теплопроводности стали при 300 °С [λм = 44,4 Вт/(м*К)] значительно меньше, чем тепловое сопротивление на газовой и воздушной сторонах трубы, и поэтому может не учитываться.
Конвективный теплообмен наружного загрязнения поверхности нагрева δн / λн существенно снижает значение коэффициента теплопередачи. Влияние загрязнений конвективных поверхностей нагрева на теплопередачу количественно оценивается коэффициентом загрязнения ε = δн / λн. В ряде случаев данных для определения е недостаточно и влияние загрязнений оценивается коэффициентом тепловой эффективности, представляющим собой отношение коэффициентов теплопередачи загрязненных и чистых труб: ψ =kн / k. При неполном омывании поверхности нагрева, неравномерном поле скоростей и температур, а также наличии застойных зон суммарное снижение коэффициента теплопередачи всеми этими факторами, а также с загрязнениями, оценивается коэффициентом использования Д. При сжигании твердого топлива е в поперечно омываемых пучках заметно уменьшается с увеличением скорости омыванияи увеличивается с возрастанием диаметра труб. При прочих одинаковых условиях коэффициент загрязнения в шахматных пучках оказывается примерно в 2 раза меньшим, чем в коридорных. Уменьшение продольного относительного шага труб в шахматных пучках заметно снижает значение коэффициента загрязнений. В коридорных пучках размер продольного относительного шага мало влияет на значение е. Незначительно влияние также и размера поперечного относительного шага труб при шахматном и коридорном их расположении. Почти не влияют на е направление движения потока газов в пучке и концентрации золы в газах. Загрязнение ребристых труб значительно больше, чем гладких.
Основными направлениями создания мало загрязняющихся поверхностей нагрева являются повышение скорости газов в них и уменьшение диаметра труб. Повышение скорости потоков газов ограничивается увеличением аэродинамического сопротивления пучка, а также условиями предотвращения износа труб частицами золы. Исходя из этих условий скорость потока для поперечно омываемых пучков труб при работе котлов на твердом топливе рекомендуется 8-10 м/с, а для воздухоподогревателей 10-14 м/с [1].
Коэффициенты загрязнения, тепловой эффективности и использования в различных поверхностях нагрева приведены в [1]. Коэффициент загрязнения е, (м2*К)/Вт, в шахматных пучках труб определяется из выражения
![]()
где ε0 - исходный коэффициент загрязнения; Сd, Сфр - поправки на диаметр труб и фракционный состав золы; Δε - поправка, зависящая от вида топлива и расположения поверхности нагрева.
Теплоотдача от продуктов сгорания к стенке происходит за счет конвекции и излучения, и коэффициент теплоотдачи для конвективных пучков, Вт/(м2*К), определяется по формуле
![]()
где ξ - коэффициент использования поверхности нагрева. Для поперечно омываемых пучков труб современных котлов ξ=1. Для ширм и сложно омываемых пучков труб ξ = 0,85 / 0,9 [1]; ак - коэффициент теплоотдачи конвекцией, Вт/(м2*К); aл - коэффициент теплоотдачи излучением, Вт/(м2*К). Значение ак зависит от скорости газов, диаметра труб и конструкции пучка, а также от характеристик греющих газов. Значение ал зависит от температуры газов и их состава, а также от конструкции трубного пучка. Коэффициент теплоотдачи от стенки к рабочему телу зависит от скорости потока и физических его характеристик. Тепловое сопротивление с внутренней стороны труб экономайзеров и испарительных поверхностей нагрева, а также пароперегревателей котлов сверхвысокого давления 1/а2 значительно меньше 1/a1, и им можно пренебречь. В воздухоподогревателях тепловое сопротивление 1/а2 значительно и должно учитываться.
Конвективный теплообмен для ширмовой поверхности нагрева определяется с учетом теплоты, воспринятой поверхностью ширм из топки:
![]()
где множитель (1+Qл/Q) учитывает теплоту, воспринятую из топки поверхностью ширм.
Коэффициент теплопередачи в шахматных трубных пучках пароперегревателей при сжигании твердых топлив
![]()
Конвективный теплообмен для экономайзеров, переходных зон прямоточных котлов и испарительных поверхностей, а также пароперегревателей при сверхкритическом давлении
![]()
Коэффициент теплопередачи для гладкотрубных шахматных и коридорных пучков при сжигании газа и мазута, а также коридорных пучков при сжигании твердых топлив:
для пароперегревателей
![]()
для экономайзеров, переходных зон прямоточных котлов, пароперегревателей сверхкритического давления, а также пучков и фестонов котлов малой мощности при работе на твердом топливе
![]()
где ψ - коэффициент тепловой эффективности поверхности нагрева.
При смешанном поперечно-продольном омывании гладкотрубных пучков коэффициенты теплопередачи определяются раздельно для поперечно и продольно омываемых участков по средним скоростям газов для каждого из них и усредняются по формуле
![]()
Коэффициент теплопередачи к, Вт/(м2*К), в трубчатых и пластинчатых воздухоподогревателях
![]()
где ξ - коэффициент использования, учитывающий совместное влияние загрязнения, неполноты омывания поверхности газами и воздухом и перетоков воздуха в трубных решетках.
Коэффициент теплопередачи пластинчатой набивки вращающегося регенеративного воздухоподогревателя, отнесенный к полной двусторонней поверхности пластин,
![]()
где x1 = Hr / H = Fв / F - отношение омываемой газами площади поверхности нагрева или соответствующего живого сечения к полной площади поверхности или полному сечению воздухоподогревателя; х2 - доля площади поверхности нагрева, омываемой воздухом; a1 и а2 - коэффициенты теплоотдачи от газов к стенке и от стенки к воздуху, Вт/(м2*к); n - коэффициент, учитывающий нестационарность теплообмена, при частоте вращения ротора воздухоподогревателя n > 1,5 об/мин ¶=1.
Коэффициент теплопередачи для чугунных ребристых и ребристозубчатых, а также плитчатых воздухоподогревателей
![]()
где ξ - коэффициент использования; а1прив и а2прив - приведенные коэффициенты теплоотдачи с газовой и воздушной сторон, учитывающие сопротивление теплоперехода поверхности и ребер, Вт/(м2*К);Н / НВп-- отношение площадей полных поверхностей с газовой и воздушной сторон.
Конвективный теплообмен конвекцией. Конвективный теплообмен конвекцией в поверхностях нагрева котла изменяется в широких пределах в зависимости от скорости и температуры потока, определяющего линейного размера и расположения труб в пучке, вида поверхности (гладкая или ребристая) и характера ее омывания (продольное, поперечное), физических свойств омывающей среды, а в отдельных случаях - от температуры стенки. Стационарный процесс конвективного теплообмена при постоянных физических параметрах теплообменивающихся сред описывается системой дифференциальных уравнений сохранения энергии, сохранения количества движения и сохранения массы потока. В конкретных условиях к этим уравнениям присоединяют условия однозначности: значения физических констант, поля скоростей и температур, конструктивные параметры и пр. Решение этих уравнений затруднительно, и поэтому в инженерных расчетах используются критериальные зависимости, полученные на основе теории подобия и экспериментальных данных. Результаты исследования обработаны в виде степенных зависимостей Nu = / (Re Рг), где Nu, Re и Рг- соответственно числа Нуссельта, Рейнольдса и Прандтля.При определении ак скорость потока продуктов сгорания, м/с, определяется по формуле
![]()
где F - площадь живого сечения газохода, м2; Вр - расчетный расход топлива, кг/ч; W - объем продуктов сгорания на 1 кг топлива, м3/кг, при давлении 100 кПа и 0°С, определяемый по среднему коэффициенту избытка воздуха в газоходе.
Скорость воздуха в воздухоподогревателе, м/с,
![]()
где V02 - теоретическое количество воздуха, необходимое для сгорания топлива при давлении 100 кПа и 0°С; ßвп - коэффициент, учитывающий потери воздуха в воздухоподогревателе и рециркуляцию газов в топку.
Скорости водяного пара или воды в трубах, м/с,
![]()
где О - расход пара, воды, кг/ч; vСр - средний удельный объем пара, воды, м3/кг; f - площадь живого сечения для прохода пара, воды, м3.
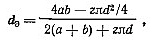
Площадь живого сечения, м2, для прохода газов или воздуха в газоходах, заполненных трубами:
для поперечно омываемых гладкотрубных пучков
![]()
где а и b - размеры газохода в данном сечении, м2; Z1 - число труб в ряду; d и I - диаметр и длина труб, м.
При продольном омывании труб и течении среды внутри труб
![]()
где z - число параллельно включенных труб;
при течении среды между трубами
![]()
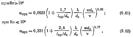
Усреднение живых сечений при разной их площади на отдельных участках газохода проводится из условия усреднения скоростей. Температуру потока газов в газоходе принимают равной сумме средней температуры обогреваемой среды и температурного напора. При охлаждении газов не более чем на 300 °С их среднюю температуру можно определить как среднеарифметическую между температурами на входе и выходе газохода. Коэффициент теплоотдачи конвекцией ак, Вт/(м2*К), при поперечном омывании коридорных пучков и ширм, отнесенный к полной площади внешней поверхности труб, определяется по формуле
![]()
где Cs - поправка на число рядов труб по ходу газов при z ≥ 10, Cs = 1; Cs - поправка на компоновку пучка, определяемая в зависимости от отношения продольного и поперечного шага к диаметру [1]. λ - теплопроводность при средней температуре потока, Вт/(м2*К); v - кинематическая вязкость продуктов сгорания при средней температуре потока, м2/с; d - диаметр труб, м; w - скорость продуктов сгорания, м/с.
Коэффициент теплоотдачи конвекцией при поперечном омывании шахматных пучков, Вт/(м2*К),
![]()
где Cs - коэффициент, определяемый в зависимости от относительного поперечного шага σ1 и значения φσ1 = (σ1 - 1)/(σ'2 - 2), σ'2= √0,025σ'1+ 2 , σ'2 - относительный продольный шаг труб при 0,1< φσ <1,7, Сa = 0,34φ0σ ; Сz - поправка на число рядов труб по ходу газов: при числе рядов труб z2 < 10 и σ1<3,0 Сz = 3,12 z0’052 - 2,5.
Для пучков, в которых трубы расположены частично в шахматном, а частично - в коридорном порядке, коэффициент теплоотдачи определяется отдельно для каждой части. Коэффициент теплоотдачи аk, Вт/(м2*К), при продольном обтекании поверхности нагрева однофазным турбулентным потоком при давлениях и температурах, далеких от критических,
![]()
где dэ - эквивалентный диаметр, м; Ct, Cd, Cl - поправки на температуру потока, диаметр трубы и длину трубы.
При течении в круглой трубе эквивалентный диаметр равен внутреннему. При течении в некруглой трубе или в кольцевом канале rf3 = 4F / U, м, где F-площадь живого сечения канала, м2; U-омываемый периметр, м. Для прямоугольного сечения, заполненного трубами ширм или конвективных пучков,

где а и b - поперечные размеры газохода в свету, м; г - количество труб в газоходе; d - наружный диаметр труб, м.
Поправка Ct зависит от температуры потока и стенки. Для продуктов сгорания и воздуха поправка Ct вводится только при их нагревании. При течении пара и воды в котле Ct ≈ 1. Поправка на относительную длину трубы 1,4 при l / d=20.
Коэффициент теплоотдачи от газа к ширмам, Вт/(м2*К),
![]()
где ак - коэффициент теплоотдачи конвекцией, отнесенный к площади полной поверхности ширм, Вт/(м2*К); е - коэффициент загрязнения, м2*К/Вт; х - угловой коэффициент ширм; S2 - шаг между ширмами, м. Коэффициент теплоотдачи ак, Вт/(м2*К), для регенеративных вращающихся воздухоподогревателей (РВВ)
![]()
Значения коэффициентов Ct и С/ определяются так же, как при продольном обтекании поверхности нагрева; при набивке РВВ из волнистых дистанционирующих листов (см. гл. 20) А =0,027, из гладких дистанционирующих листов А = 0,021. При интенсифицированной набивке эквивалентный диаметр набивки dэ = 9,6 мм, при неинтенсифицированной набивке dэ = 7,8 мм, для холодной ступени, состоящей из гладких листов, dэ = 9,8 мм.
Для чугунных ребристых и ребристо-зубчатых воздухоподогревателей, выпускаемых отечественными заводами, приведенный коэффициент теплоотдачи с газовой стороны для чистых труб аПрив, Вт/(м2*К), отнесенный к полной наружной поверхности, определяется по формуле

где sрб - шаг ребер, м.
Значения остальных величин указаны выше. Приведенный конвективный теплообмен с воздушной стороны, отнесенный к полной внутренней поверхности труб при продольных ребрах внутри них, определяется по формулам

где lПр - длина оребренной части труб, м.
Коэффициент теплоотдачи излучением. Количество теплоты, переданной 1 м2 поверхности нагрева излучением потока газов, QЛ, Вт/м2 определяется с помощью коэффициента теплоотдачи излучением Вт/(м2*К),
![]()
где qл - количество теплоты, переданное 1 м2 поверхности нагрева излучением кДж/(м2*ч); θ и tс - температуры газов и загрязненное стенки, 0ºС.
В продуктах сгорания топлива при использовании твердого топлива кроме трехатомных газов содержатся взвешенные в потоке частицы золы. Коэффициент теплоотдачи излучения продуктов сгорания а, Вт/(м2*К):
для запыленного потока

здесь а3 - интегральный коэффициент теплового излучения загрязненной стенки (для поверхностей нагрева котла а3 = 0,8); а - то же потока газов при температуре Г, которая определяется по формуле а = 1 - еkps, здесь kps - суммарная оптическая толщина слоя продуктов сгорания топлива; р для котлов без наддува принимается 0,1 МПа; Т - температура продуктов, К; Т3 - температура загрязненной наружной поверхности, К.
Оптическая толщина запыленного потока kps = (krrn + kэлμэл)ps. Значения kr и kэл в зависимости от парциального давления трехатомных газов, толщины излучающего слоя и концентрации золы приведены в [1]. Например, при работе котла на пыли твердого топлива и расстоянии между трубами около 0,17 м значение fe2 ≤ 2,8 и kэл ≤ 8,2. Для незапыленного потока (продукты сгорания газообразного и жидкого топлива) второе слагаемое равно нулю.
Коэффициент ослабления лучей трехатомными газами и частицами находится по (9.19) и определяется по [1]. Эффективная толщина излучающего слоя при излучении ограниченного со всех сторон газового объема, м,

где V - объем излучающего слоя, м3; Fог - площадь ограждающих поверхностей, м2.
Для гладкотрубных пучков, м,

Для пучков из плавниковых труб значение s, полученное по (9.65), следует умножить на 0,4.
Эффективная толщина излучающего слоя для верхней ступени воздухоподогревателя принимается для трубчатых воздухоподогревателей равной 0,9 d, где d - диаметр труб, м. Температура загрязненной поверхности труб ширмовых и конвективных перегревателей испарительных ширм и настенных труб при сжигании твердого и жидкого топлива принимается равной температуре наружного слоя загрязнений, °С.

где Q - тепловосприятие данной поверхности нагрева, кДж/кг, определяемое из уравнения баланса по предварительно принятой конечной температуре одной из сред; Qn - теплота, воспринятая поверхностью излучением из топки или из объема перед ней, кДж/кг; t - средняя температура среды, °С; Н - площадь поверхности нагрева, м2; е - коэффициент загрязнения, м2*К/Вт; а2 - коэффициент теплоотдачи от стенки к пару, Вт/(м2*К).
Значение 8 для шахматных перегревателей и ширм принимают по данным [1]. Для коридорных и шахматных пароперегревателей и настенных труб при сжигании жидкого топлива е» 0,003, а при сжигании твердых топлив 8 ≈ 0,005 м2*К/Вт. В остальных случаях температура стенки t3 = t + Δt, °C.
Для фестонов Δt = 80 °С. Для одноступенчатых экономайзеров при θ = 400°С, вторых ступеней экономайзеров и испарительных пучков котлов малой мощности при сжигании твердых и жидких топлив Δt = 60 °С. Для первых ступеней экономайзеров и одноступенчатых воздухоподогревателей, для шахматных и коридорных пучков при сжигании твердых и жидких топлив при θ < 400°С Δt = 25ºС. При сжигании газа для всех поверхностей нагрева Δt = 25°С.
Теплота, передаваемая излучением на настенную поверхность нагрева пучком труб на ряд труб, кДж/кг, определяется по формуле

где ал - коэффициент теплоотдачи излучением, Вт/(м2*К); tа - температура загрязненной стенки, °С; Нл - площадь лучевоспринимающей поверхности нагрева, м2.